Kunci jawaban buku matematika ekonomi dan bisnis nata wirawan.
Jika kamu mencari artikel kunci jawaban buku matematika ekonomi dan bisnis nata wirawan terlengkap, berarti kamu sudah berada di web yang benar. Yuk langsung saja kita simak penjelasan kunci jawaban buku matematika ekonomi dan bisnis nata wirawan berikut ini.
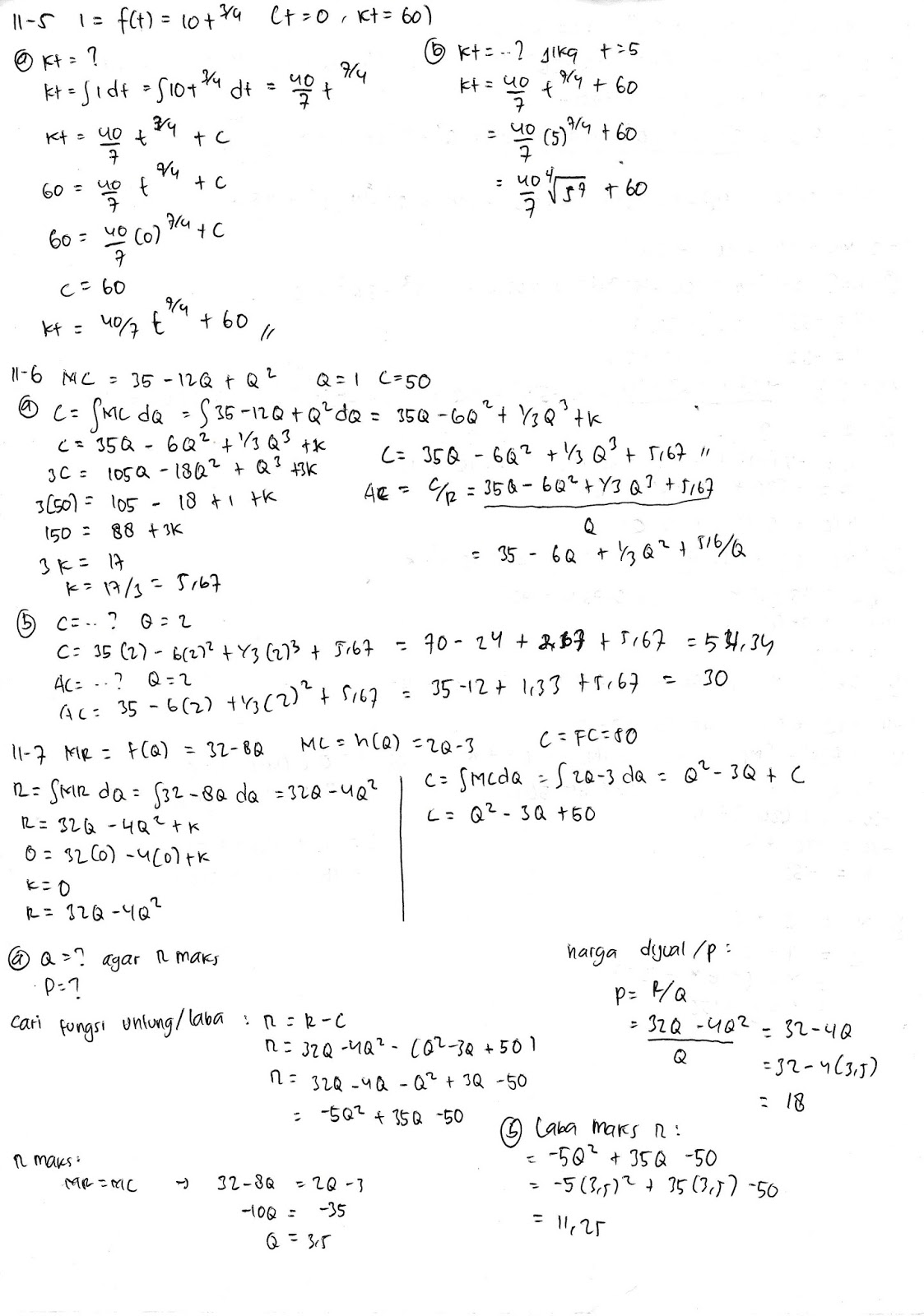
Latihan Halaman 48 Buku Matematika Ekonomi Oleh Bapak Nata Wirawan - Mai Melajah From maimelajahekonomi.blogspot.com
Semua jawaban dalam tugas akhir modul ini bersumber dari bapak ibu yang ikut ppg lebih dulu yang bisa dijadikan referensi yang bersifat fleksibel untuk bapak dan ibu guru.
Apa kabarnya nih, pasti oke oke aja kan.ya iya kan hehehehe just e. Kunci jawaban buku statistika nata wirawan edisi keempat friday march 20 2020 kunci jawaban buku statistika nata wirawan edisi keempat kunci jawaban buku statistika nata wirawan edisi keempat bab 3 edit. Matematika untuk ekonomi dan bisnis. Kunci jawaban buku statistika nata wirawan edisi keempat kumpulan. Matematika ekonomi edisi revisi umm press.
Source: maimelajahekonomi.blogspot.com
Semua jawaban dalam tugas akhir modul ini bersumber dari bapak ibu yang ikut ppg lebih dulu yang bisa dijadikan referensi yang bersifat fleksibel untuk bapak dan ibu guru. Berdasarkan hasil pengamatan diketahui bahwa ketika sebesar rp 5unit jumlah yang diminta sebanyak 14 unit sementara kesediaan produsen unit menawarkan barang. Kunci jawaban buku statistika nata wirawan edisi keempat. Kunci jawaban buku statistika nata wirawan edisi keempat / kunci jawaban buku statistika nata wirawan edisi keempat. Latihan halaman 93 buku matematika ekonomi oleh bapak nata.
Kunci jawaban buku statistika nata wirawan edisi keempat.
Matematika untuk ekonomi dan bisnis. Posting komentar untuk statistika untuk ekonomi dan keuangan modern buku 2 pdf untuk mengunduh file gunakan tombol download yang tersedia kemudian buka link download yang muncul kunci jawaban buku matematika kelas 9 halaman 256. Makalah statistik ekonomi lanjutan analisis variansi. Latihan halaman 93 buku matematika ekonomi oleh bapak nata.
Source: siswapelajar.my.id
Download pdf kunci jawaban matematika ekonomi josep bintang. Matematika ekonomi dan bisnis edisi 3 buku 1 josep bintang. Keseimbangan pasar pajak dan subsidi terhadap keseimbangan contoh soal. Latihan halaman 93 (buku matematika ekonomi oleh bapak nata wirawan) dan yang c saya salah dalam menghitung mohon dikoreksi hitungannya , hehe.
Source: webedukasi-sekolah.blogspot.com
Nata wirawan xi d prakata edisi ketiga alam edisi ketiga buku ini, penulis melakukan penyesuaian judul buku dari judul semula yaitu “ cara mudah memahami statistik 2 (statistik inferensia), untuk ekonomi dan bisnis” menjadi cara mudah memahami statistika ekonomi dan bisnis (statistika inferensia), buku 2”. Kunci jawaban buku statistika nata wirawan edisi keempat. Buka kembali modul dan catatan anda untuk memastikan materi yang di ulas di soal. Latihan halaman 93 (buku matematika ekonomi oleh bapak nata wirawan) dan yang c saya salah dalam menghitung mohon dikoreksi hitungannya , hehe.
Source: kunci-viral.netlify.app
Kunci jawaban buku statistika nata wirawan edisi keempat. Posting komentar untuk statistika untuk ekonomi dan keuangan modern buku 2 pdf untuk mengunduh file gunakan tombol download yang tersedia kemudian buka link download yang muncul kunci jawaban buku matematika kelas 9 halaman 256. Buku original buku matematika ekonomi dan bisnis edisi 4 buku 1 2018 shopee indonesia. Download pdf kunci jawaban matematika ekonomi josep bintang.
Download buku intan pariwara kelas xii pdf.
Buku dan kunci jawaban bisa di downdload buku bartle jawaban bab 2 jawaban bab 3 latihan soal lainnya. Kunci jawaban buku statistika nata wirawan edisi keempat kumpulan. Latihan halaman 93 (buku matematika ekonomi oleh bapak nata wirawan) dan yang c saya salah dalam menghitung mohon dikoreksi hitungannya , hehe. Matematika ekonomi lanjutan hello, what's up gaes ??? Nata wirawan xi d prakata edisi ketiga alam edisi ketiga buku ini, penulis melakukan penyesuaian judul buku dari judul semula yaitu “ cara mudah memahami statistik 2 (statistik inferensia), untuk ekonomi dan bisnis” menjadi cara mudah memahami statistika ekonomi dan bisnis (statistika inferensia), buku 2”.
Source: maimelajahekonomi.blogspot.com
Matematika ekonomi muhammad teguh rajagrafindo persada. Modul statistik deskriptif ini penulis sajikan dalam bentuk buku yang sederhana dan tujuan penulisan modul statistik deskriptif adalah untuk memudahkan. ← contoh soal ekonomi regional contoh soal ekonomi pajak dan subsidi → Latihan halaman 93 buku matematika ekonomi oleh bapak nata. Matematika ekonomi buku karya nata wirawan halaman 289 291 tentang aplikasi integral dalam ekonomi mai melajah.
To find more books about kunci jawaban matematika ekonomi edisi 6 nata wirawan halaman 6 7, you can use related keywords :
Matematika ekonomi lanjutan hello, what's up gaes ??? Kunci jawaban buku statistika nata wirawan edisi keempat / kunci jawaban buku statistika nata wirawan edisi keempat. Latihan halaman 93 buku matematika ekonomi oleh bapak nata. Kunci jawaban buku statistika nata wirawan edisi keempat.
Source: siswapelajar.my.id
Matematika ekonomi dan bisnis edisi 3 buku 1 josep bintang. Buku dan kunci jawaban bisa di downdload buku bartle jawaban bab 2 jawaban bab 3 latihan soal lainnya. Contoh soal matematika ekonomi dan bisnis fungsi linier. Jawaban b diatas gambarkan p dan q pada saat keseimbangan baik sebelum subsidi maupun setelah subsidi.
Source: maimelajahekonomi.blogspot.com
Berdasarkan hasil pengamatan diketahui bahwa ketika sebesar rp 5unit jumlah yang diminta sebanyak 14 unit sementara kesediaan produsen unit menawarkan barang. To find more books about kunci jawaban matematika ekonomi edisi 6 nata wirawan halaman 6 7, you can use related keywords : Matematika ekonomi buku karya nata wirawan halaman 289 291 tentang aplikasi integral dalam ekonomi mai melajah. Buku dan kunci jawaban bisa di downdload buku bartle jawaban bab 2 jawaban bab 3 latihan soal lainnya.
Source: kunci-viral.netlify.app
Keseimbangan pasar pajak dan subsidi terhadap keseimbangan contoh soal. Kunci jawaban lks bahasa arab kelas 8 berikut ini adalah file dan info tentang kunci jawaban lks bahasa arab kelas 8 yang bisa anda. Kunci jawaban dan soal uts bahasa sunda kelas 5 semester 1 buku. Latihan halaman 93 buku matematika ekonomi oleh bapak nata.
Buku matematika ekonomi dan bisnis jilid 1 edisi 4 by josep bintang kalangi shopee indonesia.
Latihan halaman 93 buku matematika ekonomi oleh bapak nata. To find more books about nata wirawa. Download pdf kunci jawaban matematika ekonomi josep bintang. Kunci jawaban buku statistika nata wirawan edisi keempat friday march 20 2020 kunci jawaban buku statistika nata wirawan edisi keempat kunci jawaban buku statistika nata wirawan edisi keempat bab 3 edit. Buku dan kunci jawaban bisa di downdload buku bartle jawaban bab 2 jawaban bab 3 latihan soal lainnya.
Source: maimelajahekonomi.blogspot.com
Buku matematika ekonomi dan bisnis jilid 1 edisi 4 by josep bintang kalangi shopee indonesia. Matematika untuk ekonomi dan bisnis. (statistika inferensia) nata wirawan cara mudah memahami statistika ekonomi dan bisnis (buku 2 : Kunci jawaban buku statistika nata wirawan edisi keempat friday march 20 2020 kunci jawaban buku statistika nata wirawan edisi keempat kunci jawaban buku statistika nata wirawan edisi keempat bab 3 edit. Download pdf kunci jawaban matematika ekonomi josep bintang.
Matematika ekonomi dan bisnis edisi 3 buku 1 josep bintang.
Matematika ekonomi dan bisnis edisi 3 buku 1 josep bintang. Semua jawaban dalam tugas akhir modul ini bersumber dari bapak ibu yang ikut ppg lebih dulu yang bisa dijadikan referensi yang bersifat fleksibel untuk bapak dan ibu guru. Download buku intan pariwara kelas xii pdf. Apa kabarnya nih, pasti oke oke aja kan.ya iya kan hehehehe just e.
Source: kunci-viral.netlify.app
Kunci jawaban buku statistika nata wirawan edisi keempat kumpulan kunci jawaban buku source: ← contoh soal ekonomi regional contoh soal ekonomi pajak dan subsidi → Buka kembali modul dan catatan anda untuk memastikan materi yang di ulas di soal. Kunci jawaban buku statistika nata wirawan edisi keempat.
Source: maimelajahekonomi.blogspot.com
Kunci jawaban buku statistika nata wirawan edisi keempat. Makalah statistik ekonomi lanjutan analisis variansi. Kunci jawaban nata wirawan 23 des, 2020 posting komentar posting komentar ← contoh soal ekonomi regional contoh soal ekonomi pajak dan subsidi →
Source: maimelajahekonomi.blogspot.com
Matematika ekonomi dan bisnis edisi 3 buku 1 josep bintang. Matematika ekonomi muhammad teguh rajagrafindo persada. Matematika ekonomi buku karya nata wirawan halaman 289 291 tentang aplikasi integral dalam ekonomi mai melajah. Matematika ekonomi edisi revisi umm press.
Matematika ekonomi lanjutan hello, what's up gaes ???
Statistika untuk ekonomi dan keuangan modern, edisi 3 buku 1. Kunci jawaban dan soal uts bahasa sunda kelas 5 semester 1 buku. Xi matematika ekonomi nata wirawan xi. Contoh soal matematika ekonomi dan bisnis fungsi linier. Latihan halaman 93 buku matematika ekonomi oleh bapak nata.
Source: maimelajahekonomi.blogspot.com
Buku matematika ekonomi dan bisnis jilid 1 edisi 4 by josep bintang kalangi shopee indonesia. Matematika ekonomi edisi revisi umm press. Buku matematika ekonomi dan bisnis jilid 1 edisi 4 by josep bintang kalangi shopee indonesia. Contoh soal matematika ekonomi dan bisnis fungsi linier. Kunci jawaban lks bahasa arab kelas 8 berikut ini adalah file dan info tentang kunci jawaban lks bahasa arab kelas 8 yang bisa anda.
Apa kabarnya nih, pasti oke oke aja kan.ya iya kan hehehehe just e.
Open library matematika ekonomi bisnis buku 1. To find more books about nata wirawa. Kunci jawaban lks bahasa arab kelas 8 berikut ini adalah file dan info tentang kunci jawaban lks bahasa arab kelas 8 yang bisa anda. Dan yang terfokus pada masalah ekonomi dan bisnis, juga tetap dipertahankan.
Source: kunci-viral.netlify.app
1 cara mudah memahami statistika ekonomi dan bisnis (statistika deskriptif)2 cara mudah memahami statistika ekonomi dan. Matematika ekonomi dan bisnis edisi 3 buku 1 josep bintang. Nata wirawan xi d prakata edisi ketiga alam edisi ketiga buku ini, penulis melakukan penyesuaian judul buku dari judul semula yaitu “ cara mudah memahami statistik 2 (statistik inferensia), untuk ekonomi dan bisnis” menjadi cara mudah memahami statistika ekonomi dan bisnis (statistika inferensia), buku 2”. Buka kembali modul dan catatan anda untuk memastikan materi yang di ulas di soal. Latihan halaman 93 buku matematika ekonomi oleh bapak nata.
Source: webedukasi-sekolah.blogspot.com
Download pdf kunci jawaban matematika ekonomi josep bintang. Posting komentar untuk statistika untuk ekonomi dan keuangan modern buku 2 pdf untuk mengunduh file gunakan tombol download yang tersedia kemudian buka link download yang muncul kunci jawaban buku matematika kelas 9 halaman 256. Makalah statistik ekonomi lanjutan analisis variansi. Kunci jawaban dan soal uts bahasa sunda kelas 5 semester 1 buku. Latihan halaman 93 buku matematika ekonomi oleh bapak nata.
Source: siswapelajar.my.id
Kunci jawaban buku statistika nata wirawan edisi keempat friday march 20 2020 kunci jawaban buku statistika nata wirawan edisi keempat kunci jawaban buku statistika nata wirawan edisi keempat bab 3 edit. Kunci jawaban buku statistika nata wirawan edisi keempat friday march 20 2020 kunci jawaban buku statistika nata wirawan edisi keempat kunci jawaban buku statistika nata wirawan edisi keempat bab 3 edit. Buku dan kunci jawaban bisa di downdload buku bartle jawaban bab 2 jawaban bab 3 latihan soal lainnya. Statistika untuk ekonomi dan keuangan modern, edisi 3 buku 1. Modul statistik deskriptif ini penulis sajikan dalam bentuk buku yang sederhana dan tujuan penulisan modul statistik deskriptif adalah untuk memudahkan.
Situs ini adalah komunitas terbuka bagi pengguna untuk membagikan apa yang mereka cari di internet, semua konten atau gambar di situs web ini hanya untuk penggunaan pribadi, sangat dilarang untuk menggunakan artikel ini untuk tujuan komersial, jika Anda adalah penulisnya dan menemukan gambar ini dibagikan tanpa izin Anda, silakan ajukan laporan DMCA kepada Kami.
Jika Anda menemukan situs ini baik, tolong dukung kami dengan membagikan postingan ini ke akun media sosial seperti Facebook, Instagram dan sebagainya atau bisa juga save halaman blog ini dengan judul kunci jawaban buku matematika ekonomi dan bisnis nata wirawan dengan menggunakan Ctrl + D untuk perangkat laptop dengan sistem operasi Windows atau Command + D untuk laptop dengan sistem operasi Apple. Jika Anda menggunakan smartphone, Anda juga dapat menggunakan menu laci dari browser yang Anda gunakan. Baik itu sistem operasi Windows, Mac, iOS, atau Android, Anda tetap dapat menandai situs web ini.




