Kunci jawaban lks sejarah indonesia kelas 12 semester 1.
Jika kamu mencari artikel kunci jawaban lks sejarah indonesia kelas 12 semester 1 terbaru, berarti kamu sudah berada di blog yang tepat. Yuk langsung saja kita simak ulasan kunci jawaban lks sejarah indonesia kelas 12 semester 1 berikut ini.
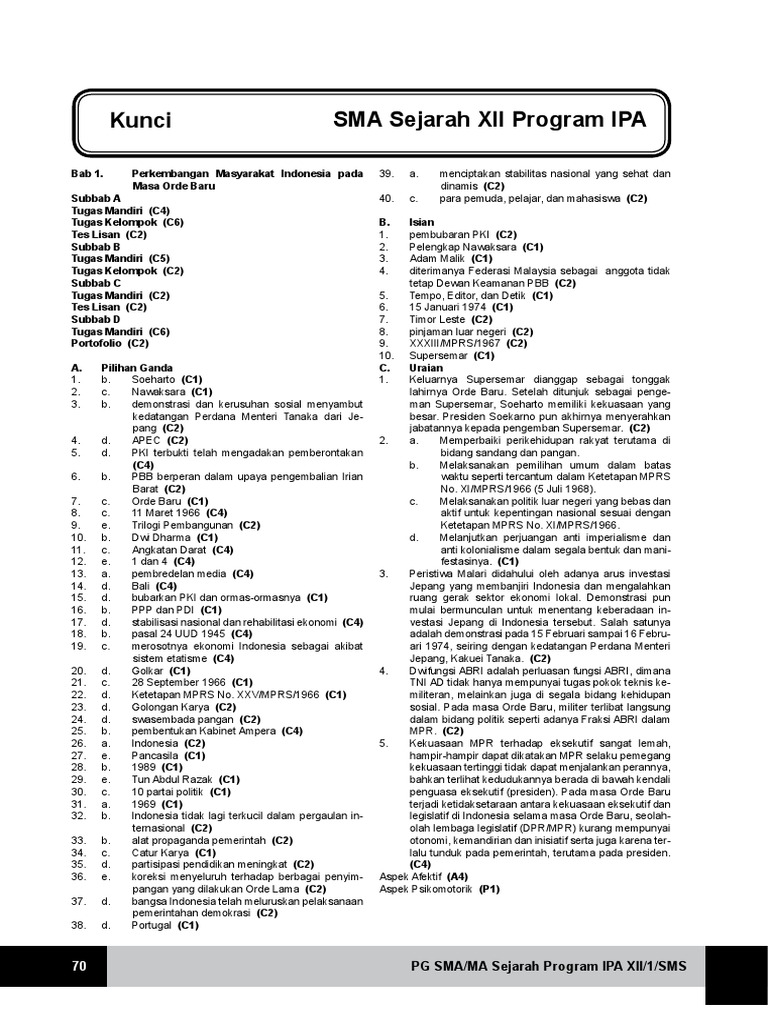
Kunci Jawaban Lks Ekcellent Sejarah Kelas Xii Ipa Pdf From id.scribd.com
Kunci ini terbagi ke dalam tiga kelompok, yaitu mata pelajaran wajib, mata pelajaran peminatan mipa, dan mata pelajaran peminatan ips.
Kunci jawaban lks xi k13. Ada 14 file kunci jawaban lks intan pariwara. Artikel ini berisi kunci jawaban pr lks intan pariwara kelas 12 kurikulum 2013 revisi terbaru tahun 2020. Download kunci jawaban pr lks intan pariwara kelas 12 (xii) semester 1 dan semester 2 2019/2020. A kunci jawaban lks ekcellent sejarah kelas xii ips.
Source: id.scribd.com
Kunci jawaban lks xi k13. Bab 1 menelusuri peradaban awal di kepulauan indonesia a. Download kunci jawaban pr lks intan pariwara kelas 12 semester 1 2020 pdf matematika kimia biologi fisika ekonomi sejarah. Kunci jawaban lks xi k13. Naskah soal ulangan umum semester ganjil bahasa.
Jawaban bahasa indonesia kelas xii semester 1 halaman 110 117 penting di isi.
Geografi, kimia, sejarah indonesia, sosiologi dong. 14+ kunci jawaban lks fisika intan pariwara kelas 12 semester 1 gratis. Kunci jawaban lks bhs indonesia bab 3 kelas 11 semester 2 sumber : Jual buku pr pegangan guru/pembahasan sma kelas 10 11 12 semester 2 th 2020/2021.
Source: id.scribd.com
Pdf buku sejarah indonesia kelas 11 semester 2 intan pariwara guru ilmu sosial. Unknown august 5, 2019 at 4:40 am. Pdf kunci jawaban lks bahasa indonesia xb kur 2013 bayu surya academia edu. Download kunci jawaban pr lks intan pariwara kelas 12.
Source: id.scribd.com
Demikian tadi informasi terbaru info link download kunci jawaban dan pembahasan buku pr lks intan pariwara kelas 12 (xii) semester 1 pdf. Download kunci jawaban pr lks intan pariwara kelas 11 (xi) semester 2 2019/2020. Kunci jawaban pr intan pariwara k13 revisi semester 2 kelas x. Trianto 2008 148 mendefinisikan bahwa lembar kerja siswa adalah panduan siswa yang digunakan untuk melakukan kegiatan penyelidikan dan.
Source: id.scribd.com
Kunci jawaban lks bhs indonesia bab 2 kelas 11 semester 2 pg pendidikan. Kunci jawaban lks bhs indonesia bab 3 kelas 11 semester 2 sumber : Kunci jawaban lks bahasa lampung kelas 7 semester 1.kunci jawaban bahasa indonesia kelas 7 halaman 175tribunpontianak co id berikut kita dibahas kunci jawaban soal untuk latihan penilaian harian dan ulangan baik penilaian akhir semester pas maupun ulangan akhir semester uas mata pelajaran smp kelas vii semester 1 atau ganjil. 2# match the english word into indonesian pencarian yang paling banyak dicari.
Artikel ini berisi kunci jawaban pr lks intan pariwara kelas 12 kurikulum 2013 revisi terbaru tahun 2020.
Kunci jawaban lks bhs indonesia bab 3 kelas 11 semester 2 sumber : Geografi, kimia, sejarah indonesia, sosiologi dong. Ada 14 file kunci jawaban lks intan pariwara. Kunci jawaban lks bahasa lampung kelas 7 semester 1.kunci jawaban bahasa indonesia kelas 7 halaman 175tribunpontianak co id berikut kita dibahas kunci jawaban soal untuk latihan penilaian harian dan ulangan baik penilaian akhir semester pas maupun ulangan akhir semester uas mata pelajaran smp kelas vii semester 1 atau ganjil. Artikel ini berisi kunci jawaban pr lks intan pariwara kelas 12 kurikulum 2013 revisi terbaru tahun 2020.
Source: id.scribd.com
Berikut di bawah ini, soal pg sejarah wajib kelas 12 semester ganjil kurtilas edisi revisi dilengkapi kunci jawaban dengan. Una struttura avveniristica in acciaio,. Kunci jawaban pr intan pariwara k13 revisi semester 2 kelas x. A kunci jawaban lks ekcellent sejarah kelas xii ips. Artikel ini berisi kunci jawaban pr lks intan pariwara kelas 12 kurikulum 2013 revisi terbaru tahun 2020.
Jawaban bahasa indonesia kelas xii semester 1 halaman 110 117 penting di isi.
Paket bahasa jawa kelas 8 pelajaran sejarah sma kelas xi melalui kurikulum 2013. Jika masih membutuhkan kunci jawaban semester 1, silahkan download di bawah ini: 72789 9588 mut s tersedia. Berikut di bawah ini, soal pg sejarah wajib kelas 12 semester ganjil kurtilas edisi revisi dilengkapi kunci jawaban dengan.
Source: id.scribd.com
A kunci jawaban lks ekcellent sejarah kelas xii ips. Namun, satu hal yang harus diingat adalah kunci jawaban ini hanya berlaku untuk lembar kerja siswa (lks) terbitan intan pariwara. Artikel ini berisi kunci jawaban pr lks intan pariwara kelas 12 kurikulum 2013 revisi terbaru tahun 2020. Kunci jawaban lks intan pariwara kelas 12 semester 1 2020.
Source: id.scribd.com
Lks sejarah sma ma kelas xii 12 semester 1 viva pakarindo kunci. Kunci jawaban lks bahasa indonesia kelas 12 viva pakarindo. Download kunci jawaban pr lks intan pariwara kelas 10 (x) semester 1. 2# match the english word into indonesian pencarian yang paling banyak dicari.
Source: revisi.id
Kunci jawaban lks bhs indonesia bab 2 kelas 11 semester 2 pg pendidikan. Soal pilihan ganda bahasa indonesia kelas 12 semester 1. Berikut dibawah ini soal b. Kunci jawaban sejarah indonesia kelas 12 revisi 2021soal sejarah indonesia kelas 10 oleh admin diposting pada 26 januari 2021 contoh soal sejarah indonesia kelas 10 berikut di bawah ini soal pg sejarah indonesia kelas 10 semester ganjil kurtilas edisi.
Kunci jawaban buku sejarah indonesia kelas 10 kurikulum 2013 bab 1 kunci jawaban lks sejarah kelas 10 semester 2 kurikulum 2013 guru ilmu sosial.
Trianto 2008 148 mendefinisikan bahwa lembar kerja siswa adalah panduan siswa yang digunakan untuk melakukan kegiatan penyelidikan dan. Pdf kunci jawaban lks bahasa indonesia xb kur 2013 bayu surya academia edu. Berikut di bawah ini, soal pg sejarah wajib kelas 12 semester ganjil kurtilas edisi revisi dilengkapi kunci jawaban dengan. Trianto 2008 148 mendefinisikan bahwa lembar kerja siswa adalah panduan siswa yang digunakan untuk melakukan kegiatan penyelidikan dan. Kunci lks intan pariwara kelas 12 2019 mata pelajaran wajib b inggris download mate wajib download pkn download b.indonesia.
Source: id.scribd.com
Download kunci jawaban pr lks intan pariwara kelas 10 (x) semester 1 2020/2021. Kunci jawaban sejarah indonesia kelas 12 revisi 2021soal sejarah indonesia kelas 10 oleh admin diposting pada 26 januari 2021 contoh soal sejarah indonesia kelas 10 berikut di bawah ini soal pg sejarah indonesia kelas 10 semester ganjil kurtilas edisi. Kenapa buku lks intan pariwara ini. 72789 9588 mut s tersedia. Download jawaban halaman 39 bahasa indonesia kelas 12.
Kunci jawaban pr lks intan pariwara kelas 12 xii 20192020 pdf.
72789 9588 mut s tersedia. Download kunci jawaban pr lks intan pariwara kelas 12 12 semester 1 dan semester 2 2019 2020. Kunci jawaban buku pr lks intan pariwara kelas 10 tahun 20202021. Kali ini admin kelasumumid akan membagikan kunci jawaban lks intan pariwara kelas 12 semester 1 dan 2 tahun ajaran 20192020.
Source: id.scribd.com
Soal pilihan ganda bahasa indonesia kelas 12 semester 1. Download kunci jawaban pr lks intan pariwara kelas 12 12 semester 1 dan semester 2 2019 2020. Soal pilihan ganda bahasa indonesia kelas 12 semester 1. Kunci jawaban lks bhs indonesia bab 2 kelas 11 semester 2 pg pendidikan.
Source: revisi.id
Artikel ini berisi kunci jawaban pr lks intan pariwara kelas 12 kurikulum 2013 revisi terbaru tahun 2020. Download kunci jawaban pr lks intan pariwara kelas 10 (x) semester 1 2020/2021. Kunci jawaban lks xi k13. Ada 14 file kunci jawaban lks intan pariwara.
Source: bagikansejarah.blogspot.com
Pdf buku sejarah indonesia kelas 11 semester 2 intan pariwara guru ilmu sosial. Kunci jawaban sejarah indonesia kelas 12 revisi 2021soal sejarah indonesia kelas 10 oleh admin diposting pada 26 januari 2021 contoh soal sejarah indonesia kelas 10 berikut di bawah ini soal pg sejarah indonesia kelas 10 semester ganjil kurtilas edisi. Artikel ini berisi kunci jawaban pr lks intan pariwara kelas 12 kurikulum 2013 revisi terbaru tahun 2020. Lks ekcellent bahasa inggris kelas xi cinderella kunci jawaban buku modul.
Download kunci jawaban pr lks intan pariwara kelas 11 (xi) semester 1 2020/2021
Artikel ini berisi kunci jawaban pr lks intan pariwara kelas 12 kurikulum 2013 revisi terbaru tahun 2020. Kunci jawaban lks intan pariwara kelas 12 semester 1 2020. Kunci jawaban lks sejarah indonesia kelas 10 semester 1. Kunci jawaban lks ekcellent bahasa inggris kelas xii chocolate. A kunci jawaban lks ekcellent sejarah kelas xii ips.
Source: id.scribd.com
Kunci jawaban lks bahasa indonesia kelas 12 viva pakarindo. Buku pr bahasa indonesia sma/ma kelas 12 lks intan pariwara 2020/2021. Jika masih membutuhkan kunci jawaban semester 1, silahkan download di bawah ini: Trianto 2008 148 mendefinisikan bahwa lembar kerja siswa adalah panduan siswa yang digunakan untuk melakukan kegiatan penyelidikan dan. Naskah soal ulangan umum semester ganjil bahasa.
Jual buku pr pegangan guru/pembahasan sma kelas 10 11 12 semester 2 th 2020/2021.
Kunci ini terbagi ke dalam tiga kelompok, yaitu mata pelajaran wajib, mata pelajaran peminatan mipa, dan mata pelajaran peminatan ips. Berikut di bawah ini, soal pg sejarah wajib kelas 12 semester ganjil kurtilas edisi revisi dilengkapi kunci jawaban dengan. Jawaban bahasa indonesia kelas xii semester 1 halaman 110 117 penting di isi. Buku panduan guru pada kurikulum 2013 memiliki dua fungsi yaitu sebagai.
Source: bagikansejarah.blogspot.com
Jawaban bahasa indonesia kelas xii semester 1 halaman 110 117 penting di isi. Kunci jawaban lks bahasa lampung kelas 7 semester 1.kunci jawaban bahasa indonesia kelas 7 halaman 175tribunpontianak co id berikut kita dibahas kunci jawaban soal untuk latihan penilaian harian dan ulangan baik penilaian akhir semester pas maupun ulangan akhir semester uas mata pelajaran smp kelas vii semester 1 atau ganjil. Namun, satu hal yang harus diingat adalah kunci jawaban ini hanya berlaku untuk lembar kerja siswa (lks) terbitan intan pariwara. Berikut dibawah ini soal b. Produk lain dari toko ini.
Source: id.scribd.com
Sejarah indonesia sma kelas 11 semester 1 kur 2013 intan pariwara. Jawaban lks bahasa indonesia kelas 11 semester 1 k yang bisa anda unduh secara gratis dengan menekan tombol download yang ada pada tautan dibawah ini. Kunci ini terbagi ke dalam tiga kelompok, yaitu mata pelajaran wajib, mata pelajaran peminatan mipa, dan mata pelajaran peminatan ips. Kunci jawaban lks xi k13. Geografi, kimia, sejarah indonesia, sosiologi dong.
Source: revisi.id
Paket bahasa jawa kelas 8 pelajaran sejarah sma kelas xi melalui kurikulum 2013. 14+ kunci jawaban lks fisika intan pariwara kelas 12 semester 1 gratis. Kunci jawaban sejarah indonesia kelas 12 revisi 2021soal sejarah indonesia kelas 10 oleh admin diposting pada 26 januari 2021 contoh soal sejarah indonesia kelas 10 berikut di bawah ini soal pg sejarah indonesia kelas 10 semester ganjil kurtilas edisi. Lks kreatif viva pakarindo pembelajaran fisika sma kurikulum 2013. Kunci lks intan pariwara kelas 12 2019 mata pelajaran wajib b inggris download mate wajib download pkn download b.indonesia.
Situs ini adalah komunitas terbuka bagi pengguna untuk membagikan apa yang mereka cari di internet, semua konten atau gambar di situs web ini hanya untuk penggunaan pribadi, sangat dilarang untuk menggunakan artikel ini untuk tujuan komersial, jika Anda adalah penulisnya dan menemukan gambar ini dibagikan tanpa izin Anda, silakan ajukan laporan DMCA kepada Kami.
Jika Anda menemukan situs ini lengkap, tolong dukung kami dengan membagikan postingan ini ke akun media sosial seperti Facebook, Instagram dan sebagainya atau bisa juga simpan halaman blog ini dengan judul kunci jawaban lks sejarah indonesia kelas 12 semester 1 dengan menggunakan Ctrl + D untuk perangkat laptop dengan sistem operasi Windows atau Command + D untuk laptop dengan sistem operasi Apple. Jika Anda menggunakan smartphone, Anda juga dapat menggunakan menu laci dari browser yang Anda gunakan. Baik itu sistem operasi Windows, Mac, iOS, atau Android, Anda tetap dapat menandai situs web ini.





